河北承德回族孔氏家谱
前言
承德回族孔姓世代久远,枝系繁多,人口甚众,经历绵长。迄今相传八代二百余年,分布地域广泛,是一个较大的家族。
这样一个家族,过去生息繁衍,谋生求财,扶老携幼,自理自由,中间无联系,左右无照应。世代虽增,而首尾难顾;人口虽多,而日益分散。随时间之推移,最终将导致同族不相亲、同姓不相识,难以自成系统!
因此,我在晚年把孔姓家族的经历,尤其是来承德前后的变迁情况,作一简要的记述,写成这个史料,让先人的言行事迹不致隐没,使子孙后代有所遵循和有所戒忌,以利于孔姓今后的发展。
我才疏学浅,倾我全力也不能尽上自祖宗下至今人的宗宗样样,这就希望后辈子孙们体察我的苦衷,续笔拾遗。我们是孔家人,就应该尊重和爱护孔氏家谱,永葆它的完整与真实,并要相传不坠,安全保管。
孔广华 1985年 写于北京
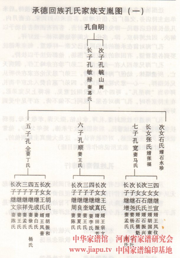
承德回族孔姓家族的祖先
始祖孔自明生于清乾隆年问,籍贯河北省河问县果子洼镇。自幼习武。中年携长子孔毓禄、次子孔毓山到北京落脚,以保镖为生。因不堪忍受宫府欺压,孔自明又带两子来承德落户。开始以营艺为生,后来摆食品摊,逐渐有了门面即荣升园的前身。嗣后孔毓山独自返回原籍。
孔毓禄与承德葛姓女结婚,生有二女七子:长女嫁给了佟山福,二女嫁给了后胡同石永珍,长子天亡,二子、三子、四子先后去东北、口外谋生。五子孔全、六子孔顺、七子孔宽,后来陂人按排行依次称七爷、八爷、九爷。
孔毓禄于同治年间在潘家沟里置地盖房。孑L全住西上房、孔顺住南房、孔宽住北房。孔全生有五子二女:长子孔继文,次子孔继宗,三子fL继祥,四子孔继先,五子孔继成;长女与胡振和结婚,次女与王凤普结婚。
孔全在西大街路北开设荣升园,五个儿子分担各种工作。后来哥五个先后结婚,有了子女,家庭负担繁重。为了谋生,于民国初年,孔继祥携眷到围场开设北德祥驼店,孔继成带全家去开爵搞粮食加工及牙纪行业。
孔顺娶西寺老伊玛目姐,生有四子二女:长子孔继周,次子孔继良,三子孔继奎,四子孑L继斌;长女孔继真与田振芳结婚,次女与王宗文结婚。
孔顷在西大街路南开设菜升馆,由四个儿子分担馆内工作,后来部结了婚,因人口多买卖萧条无法维持而停业。长子孔继周、四子孔继斌去沈阳白塔堡开设永德盛饭馆,次子孔继良天亡,孔继全在荣升馆原址一部炸油条批发,至1933年关闭。
孔宽娶马姓女。生有二子四女:长子孔继增,次子孔继尧;长女与石儒魁结婚,次女与石振兴结婚,三女与胡国章结婚,四女与王凤仪结婚。
孔宽在西大街路南开设荣升客栈,后院兼营炭店。孔继增在西大街路北开设荣美斋糕点铺。孔继尧在旱河沿开设荣生澡堂。客栈因长期驻军、澡堂因缺损先后于1922年关闭,荣美斋于1934年关闭。
孔家老辈的优良传统
孔自明父子是虔诚的穆斯林,他们的后辈都受过宗教教育,对待清真寺公益事宜总是走在最前列。
据父辈谈:孔全、孔顺、孔宽老哥仨有事总是互相商量,有困难彼此帮助,团结得非常好,待人以礼,和平相助,遇异难者予以解救,主持寺务竭尽全力,严守教规,礼五时拜功,封整月“来埋抓奶”斋,经常教育子女暗地拿“乜贴”济困解贫。
善待老人
据夏雨顺在世时常谈:七奶奶几个儿子,晚上从外归来,首先到母亲跟前问寒问暖,等老人回答后才离去回自己屋里,天天如此。
助人为乐
上屋七奶奶孔丁氏,对待登门的“撒伊来”以来不叫空手而去。潘家沟有一特贫户(人口多)以做小商为生。某年冬季遇大雪天气无法出门,七奶奶乘天不亮,暗地从该户临街窗口投入钱物以济其燃眉之急。
据石殿肇在石氏家谱中撰写的文章回忆说:他祖母石孔氏(二姑奶奶)在世时,同情关心穷苦劳动者。石家一度发肉。遇到发户得不到肉时,二奶奶总是无偿地发给他一天的生活费用。二奶奶在衣着整齐接“独哇”回来的说笑声中无常了,后人传为佳话。
继字辈的榜样
继字辈哥儿们十一人,从幼时即随父辈学做买卖,参加各种劳动。他们都没受过什么高深的教育,孔继宗、孔继增、孔继先仅念过四、五年私塾。但自立经营买卖后,不但能管理好门面,还能掌理各种账目,真称得上多面手。
其他兄弟都受过不同程度的宗教教育。孔家无论男女在教门都作出自己贡献和履行各种功课。孔继祥到围场后带头修建清真寺。孔继成在开鲁修寺时拿出白洋五十元“乜帖”,各位姑奶奶封整月斋,孔继真、孔继宣还日礼五时拜功。
孔继文的孝道
原荣升园饭馆由孔继文、孔继宗、孔继祥、孔继先、孔继成哥五个共同经营。后因买卖萧条,一次家庭会议上有人倡议分家各过。大哥孔继文首先提出同意,条件只有一个,老妈归自己奉养,其余什么都不要。哥四个听后备受感动,默默无语。最后异口同声喊不分了。原来孔继文的母亲是继母,是其他哥四个的亲母,一般人都看不出来。一直到老母无常,民国初年孔继祥、孔继成才先后分别去了围场、开鲁;孔继先另在旱河沿开设德兴永粮店;荣升园只有孔继文、孔继宗哥俩继续经营。
两个显迹
七爷孔全无常前的明显预兆
七爷孔全素常教育子女,笃信教门,一辈子乐善好施,日礼五时拜功,封正月斋。凡对穆民有益的事情,总是尽全力以赴。待人团结友爱,处世和睦,从不自骄。所以远近穆民无不称颂。
七爷在归顺前,身体仍很健壮。每日照常礼五时拜功。一天在礼毕“敝失尼”回家后,自己坐在炕上自作“讨白”结完“独哇”叫来子女说: “我的无常到了。”作了临终前“口唤”,遗嘱说:“你们一定要遵守教门,处事主持公道。”叫儿子们到寺里取回埋台匣和溜子,并且打开窗户很清醒地说: “你们快看,屏壁上站着两只仙鹤。”(两只仙鹤是二位取命天仙的化身)人正向外看时,七爷脸上照下黄来了,安祥地无常了。七爷的无常正是真主给与的明显感应,说明七爷生前所作所为的结论,当时老辈人以此时为佳话。
(以上材料来自先父孔继增传述和马孔氏、夏雨顺、田桂林等人重述)
九爷孔宽在作“古尔拜”节前宰牲的显迹。
九爷孔宽在参加一年一度的“古尔拜”节时,从农村买来一只黑头白羊,准备作“古尔拜”节用。他把羊拴在寺后听经,等待拜后宰分。正在拜功将要完结时,该羊突然蹦了几下自己死去。后来了解那只羊一下生老羊就死了,无奶喂,是用“很贼雷”的奶喂大的。它本身基本属于“孩拉木”,不宜作“古乐拜”,故在来宰之前,该羊自死了。这实属于大能的真主的要为、笃信教门的显迹。
(以上材料来自孔广荣口述)
孔继先生前事迹
孔继先人称孔四爷,其显著生平父老皆知,简介于下:孝敬父母,爱护家庭,人人敬仰;衣着朴素,勤俭持家,不搞特殊。热心寺务,重视教育。他当寺里乡老时,任劳任怨,封整月斋严守五时拜功。他主张世间真理只有一个,涵养性特别强,解决任何问题都不急不躁耐心说服,甚至有人谩骂听后若无其事仍和颜悦色与之交谈,总认为忍耐的人真主有偏慈。
1944年开办东寺小学时,班级多,经费少。他除募捐外还亲自每月捐献小米两石作为补充,直至该校归为回民小学为止。
某日晨礼后回家时,他忽感身体不适,很快归顺了。
(众乡老一口称赞,助教事由马维朴提供)
孔继先曾去过沈阳、张家口、通辽,孔继增的三子广荣、媳白淑贞也去过。他们分别与孔毓禄的次子、三子、四子的后人见过面,有时还互通讯息。
孔继宣一段显迹
孔继宣婚后经常受婆母虐待,后来耳朵被打聋,一般说话听不清。其夫不幸30岁夭亡,留下王恩普、王恩贵两个儿子。因无法忍受打骂,她最后搬出王宅在马神庙定居。
孔继宣自幼受家庭影响归信真主,有忍有耐。丈夫亡后生活困难,她以做针线活儿维持生活抚养两个儿子,这样还每日礼拜封整月斋,有时连封三个月斋。
1940年孔继增病重。继宣走铁路去居仁里看望兄长,忽然背后有人大喊:“躲开,火车来了!”她马上靠边,风驰电掣般的火车擦身而过安然无恙。回头一看并无人喊她。一场车祸避免了。这一奇迹显示真主的护佑,对认主的人、有忍耐的人真主有偏慈。继宣守寡31年,享年六十有三。
孔广海的一尘简述
孔广海幼年时,随父孔继祥由承德迁到围场。成长后辅佐父亲主持北德祥驼店。在经营过程中,严守买卖信誉,对来往客商热情接待,因此驼店更为兴盛。
围场后率先修建清真寺,对远近穆斯林客商广为接待。后来唯独主持店务,交易广泛,信任增加,客商来店如到家。在斋月内,凡是长期住店穆民一律免费在店内封斋,客商有困难者自动予以解决,因此博得京、津、多伦、大阁等地穆斯林一致好评。
孔广海对留在承德的叔伯同自己父亲一样敬重,每来承德统要到各屋看望。有困难的亲友到了围场,他都设法予以扶持。
孔广海兄弟四人在一起生活。二弟广珍在赤峰工作,因病夭亡,所遗孀妹、幼侄广海格外照看。三弟广思无论在家在外听从兄长指挥,一心一意为驼店服好务。四弟广惠自费入北京牛街礼拜寺当“海里凡”。哥四个从来没闹过意见,称得上兄宽弟忍。在主持家务时,孔广海对各屋一视同仁不偏不倚,在手足中受到好评。
孔广海遵守教规封斋、礼拜、拿乜帖、撒天课,孝敬父母,济弱扶贫,称得起一忠诚穆民。后来因病故于承德,终年55岁。他常说好与歹是主的定然,对宗教有认识。这是大能真主慈悯他的。
(材料来源:亲友所说和作者耳闻目睹)
孔姓后裔的排行
从孔子到广字辈已有乇十辈。而我们回族孔姓,由何辈排起无从考虑。特将孔姓排行附印于此。以便后裔使用。前三十个字是乾隆九年二月十七日下旨给的,后二十个字是孔子七十六代衍圣公孔令贻续的,曾在北洋政府内务部批准的。
前三十个字:
希言公彦承
昭宪庆繁祥
后二十个字:
建道敦安定
永锡世绪昌
宏闻贞尚衍
令德维垂佑
兴毓传继广
钦绍念显扬
懋修肇益常
裕文焕景瑞
孔氏世系图

茔 地
承德西山老坟地是孔毓禄正式在潘家沟领地建房时在宅地西山所辟茔地,故称西山老坟地。葬有孔自明高祖母、孔毓禄、孔葛氏、夭亡的三祖父、孔陈氏、孔继良、孔夏氏、孔陈氏、孔李氏,还有继字辈夭亡的子女共三十来人。该坟地建家属楼时被铲平。
后孔宽在梯子山购茔地一块,称东山新坟。葬有孔全、孔丁氏、孔顷、孔王氏、孔宽、孔马氏、孔继尧、孔杨氏、孔孟氏、孔徐氏、孔继先、孔杨氏、孔广凤、马贤、孔殿荣、孔马氏及广字辈天亡子女共三十多人。因该茔地被辟为砖厂以建设教育局家属楼,各坟被迁往松树梁回民公墓。
“文革”期间葬于水泉沟公墓的孔继文、孔继宗、孑L王氏、孔继奎、孔王氏、孔继增、孔广义等坟被平迁出。
自松树梁回民公墓成立后,有夏雨顺、孔广儒、孔杨氏、孔广富、孔丁氏之坟被迁入,孔广瑞、孔马氏、孔广发、孔广显、王桂兰、孔广荣、际明显、孔广田、孔广学、孔广才、石桂英、孔广荣、白淑贞、孑L连吉、王俊荣、孔昭平、于淑瑞、于淑兰、孔淑平、孔亚琴等葬于该公墓。
孔继祥、孔孟氏、孔丁氏、孔广珍、孔广恩、孔广惠、孔昭钧、孔昭英葬于围场孔家坟地。
孔继成、孔白氏、杨会兰葬于开鲁。
孔继周、孙继斌、刘启发、孔广信、孔永德葬于沈阳孔家坟地。
孔广贵葬于察右中旗,孔麻氏葬于北京。
孔昭胜葬于北京西北旺回民公墓。
后 记
一、谱内所列人名,不论年龄大小,一律按男前女后排列。
二、编谱时,因老人多已去世,各支有的材料无从查找,难免有遗漏,希望后辈谅解。
三、经过作者数年核对,谱文基本符合事实。作者1982年患脑血栓,留下后遗症,记忆减退,谱文难免有词不达意之处,亦请谅之。
四、本谱由孔连仲协助编写得以完成。

